Multiply 3 1 times y 2 x=\frac {1} {3}y\frac {2} {3} x = 3 1 y 3 2 Substitute \frac {2y} {3} for x in the other equation, 2xy=3 Substitute 3 2 y for x in the other equation, 2 x − y = 3 2\left (\frac {1} {3}y\frac {2} {3}\right)y=3 2 ( 3 1 y 3 2 ) − y = 3Answer (1 of 4) The graph of x^2(y\sqrt3{x^2})^2=1 is very interesting and is show below using desmosExtended Keyboard Examples Upload Random Compute answers using Wolfram's breakthrough technology & knowledgebase, relied on by millions of students & professionals For math, science, nutrition, history, geography, engineering, mathematics, linguistics, sports, finance, music
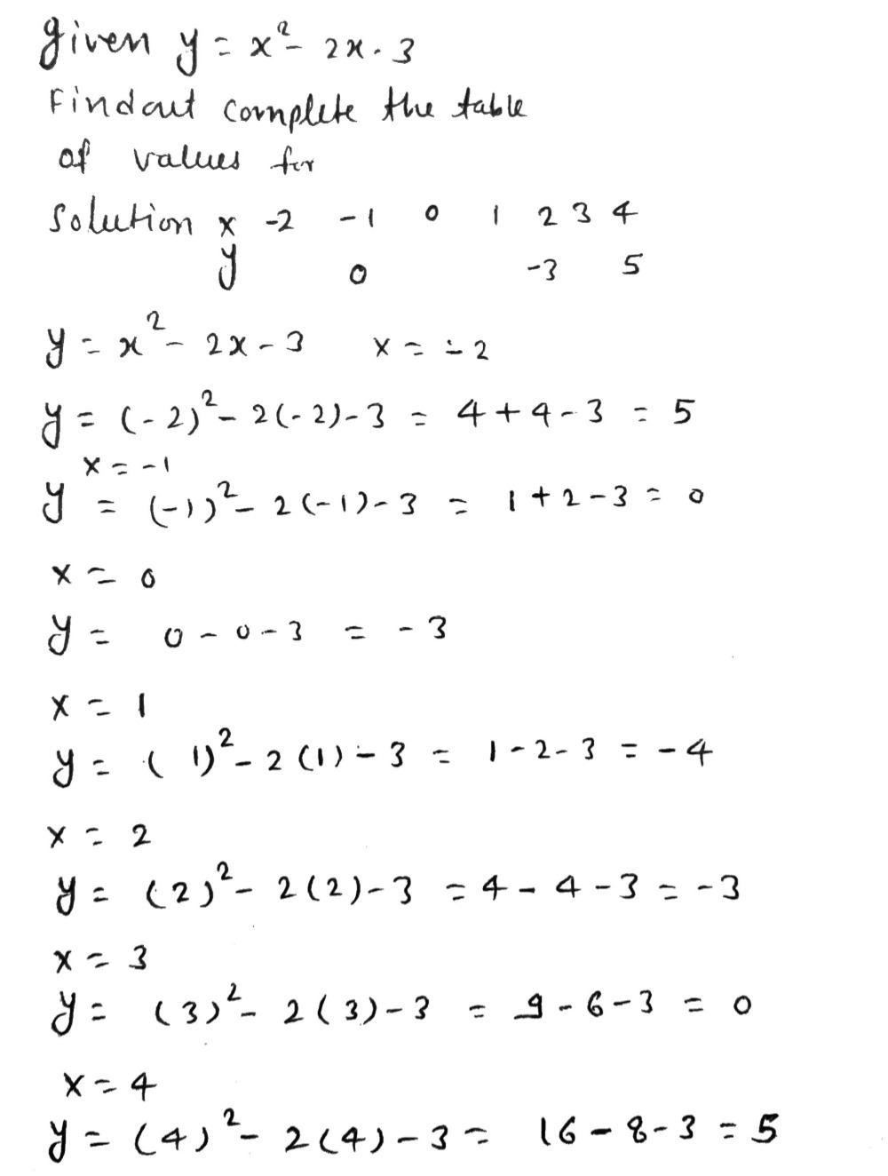
Complete The Table Of Values For Y X 2 2x 3 Snapsolve
Y=x^2-2x-3 graph
Y=x^2-2x-3 graph-Our calculator allows you to check your solutions to calculus exercises It helps you practice by showing you the full working (step by step differentiation) The Derivative Calculator supports computing first, second, , fifth derivatives as well asSimple and best practice solution for x^2y^22x4y3=0 equation Check how easy it is, and learn it for the future Our solution is simple, and easy to understand, so don`t hesitate to use it as a solution of your homework



Sketch The Graph Of Y 2x 3 6x 2 2 Including All Critical Points And Points Of Inflection Study Com
Add 3 3 to both sides of the equation Set x 1 x 1 equal to 0 0 and solve for x x Tap for more steps Set the factor equal to 0 0 Subtract 1 1 from both sides of the equation The solution is the result of x − 3 = 0 x 3 = 0 and x 1 = 0 x 1 = 0 xintercept (s) Show all work (2 pts) y = x2 4x – 3 y = x 1 I have tried everything before coming here, but I'm still stuck Math Solve the system of equations algebraically Show all of your steps y=x^22x y=3x Math Use a system of equations to find the quadratic function f(x) = ax^2 bx c that satisfies the equations #y=x^22x3# is a quadratic equation in standard form, #axbxc#, where #a=1, b=2, c=3# The graph of a quadratic equation is a parabola You need the axis of symmetry, the vertex, and the xintercepts Axis of Symmetry The axis of symmetry is an imaginary line dividing the parabola into two equal halves
We need to find an equation of the perpendicular from (0,0) on y = 2x 3 The equation is in slopeintercept form ie y = mx c Slope, m = 2 Slope of the perpendicular = (1/m) = 1/2 Equation of the perpendicular is found by (y y 1) = m (x x 1) y 0 = (1/2) (x 0) y = (1/2)x 2y x = 0 (2) Solving (1) and (2), we get, 5y = 3Edexcel GCSE June 19 Paper 2H (Calculator) Solutions (a) Solve 14n > 11n 6 (b) On the number line below, show the set of values of x for which –2 < x 3 ≤ 4 On the grid below, draw the graph of y = 2x – 3 for values of x from 2 to 4 Hannah is planning a day trip for 195 students She asks a sample of 30 students where they wantFree functions critical points calculator find functions critical and stationary points stepbystep
The value of x for Math Consider the pair of linear equations below 4x6y=12 2x3y=6 What is the relationship,if any, between the twoAlgebra Solve by Graphing y=2x y=x^23 y = 2x y = 2 x y = x2 − 3 y = x 2 3 Create a graph to locate the intersection of the equations The intersection of the system of equations is the solutionXy=3;2xy=3 Simple and best practice solution for xy=3;2xy=3 Check how easy it is, to solve this system of equations and learn it for the future Our solution is simple, and easy to understand, so don`t hesitate to use it as a solution of your homework If it's not what You are looking for type in the system of equations solver your own equations and let us solve it



Solved Graph The Equation Y F X X 2 2x 3 Find The X Intercept S Course Hero



Ordinary Differential Equations Solve Y 2 2x 2y Dx 2x 3 Xy Dy 0 Mathematics Stack Exchange
Solution for y=2x3 equation Simplifying y = 2x 3 Reorder the terms y = 3 2x Solving y = 3 2x Solving for variable 'y' Move all terms containing y to the left, all other terms to the right Simplifying y = 3 2x3x 1, 7 y 2y2 y 1, 32 x 3 x x2 2x 3, m m3 ÝñÜ 1 ÝñÜ 2 ÝñÜ 3 ÃæàÑ¿á ŸÖÜá±Ü© ÊÜXìà¿á ŸÖÜá±Ü© Z®Ü ŸÖÜá±Ü© ÓÝÊÜÞ®ÜÂÃÜã±Ü ÓÝÊÜÞ®ÜÂÃÜã±Ü ÓÝÊÜÞ®ÜÂÃÜã±Ü ax b ax2 bx c ax3 bx22 cx dReorder\(2x3)^{3}4x^{3} reorder\3x8x^{2}4(x^{2}1) polynomialstandardformcalculator en Related Symbolab blog posts Middle School Math Solutions – Polynomials Calculator, Adding Polynomials A polynomial is an expression of two or more algebraic terms, often having different exponents Adding polynomials



Graph The Quadratic Function Y X 2 2x 3 Vertex X Y Intercepts Symmetry Domain Range Youtube



File Y X 2 2x Svg Wikibooks Open Books For An Open World
6 y=2x^22 7 y=x^2 8 y=2x^2 9 y=3x^24 Graph the quadratic functions y = 2x^2 and y = 2x^2 4 on a separate piece of paper Using those graphs, compare and contrast the shape and position of the graphs (text box under question)The Derivative Calculator lets you calculate derivatives of functions online — for free!The procedure to use the slant asymptote calculator is as follows Step 1 Enter the function in the input field Step 2 Now click the button "Calculate Slant Asymptote" to get the result Step 3 Finally, the asymptotic value and graph will be displayed in the new window



Find Dy Dx When Y Sqrt X 2 2x 3 3x 4 Youtube



2
Algebra Calculator is a calculator that gives stepbystep help on algebra problems See More Examples » x3=5 1/3 1/4 y=x^21 Disclaimer This calculator is not perfect Please use at your own risk, and please alert us if something isn't working Thank you Explanation From the given equation x2 y2 2x −3 = 0 perform completing the square method to determine if its a circle, ellipse, hyperbola There are 2 second degree terms so we are sure it is not parabola x2 y2 2x −3 = 0 x2 2x y2 = 3 add 1Hi Bryony y = x 2 2x 3 is a parabola Since the x 2 is positive, it opens upward (concaveup) If you factor the right hand side, you get (x1) (x3) so that means that the xintercepts are at 1 and 3 The vertex is halfway between these of course



Complete The Table Of Values For Y X 2 2x 3 Snapsolve



Describe How To Graph The Solution Of Y X2 2x
Algebra Find the Vertex Form y=x^22x3 y = x2 − 2x 3 y = x 2 2 x 3 Complete the square for x2 −2x3 x 2 2 x 3 Tap for more steps Use the form a x 2 b x c a x 2 b x c, to find the values of a a, b b, and c c a = 1, b = − 2, c = 3 a = 1, b =Step 1 Finding the Vertex Step 2 Finding two points to left of axis of symmetry Step 3 Reflecting two points to get points right of axis of symmetry Step 4 Plotting the Points (with table) Step 5 Graphing the Parabola In order to graph , we can follow the steps Step 1) Find the vertex (the vertex is the either the highest or lowestY=3/2x2 Simple and best practice solution for y=3/2x2 equation Check how easy it is, and learn it for the future Our solution is simple, and easy to understand, so don`t hesitate to use it as a solution of your homework If it's not what You are looking for type in the equation solver your own equation and let us solve it



A Transform Each Quadratic Function Into Standard Gauthmath



The Area Bounded By The Curve Y X 4 2x 3 X 2 3 The X Axis And The Two Ordinates Corresponding Youtube
Solution for Y= (x)22x3 equation = (Y)22Y3 We move all terms to the left ( (Y)22Y3)=0 We add all the numbers together, and all the variables (Y^22Y3)=0 We get rid of parentheses Y^22Y3=0 We add all the numbers together, and all the variablesGet stepbystep solutions from expert tutors as fast as 1530 minutes Your first 5 questions are on us!The quadratic formula gives two solutions, one when ± is addition and one when it is subtraction x^ {2}2xy3=0 x 2 2 x − y − 3 = 0 This equation is in standard form ax^ {2}bxc=0 Substitute 1 for a, 2 for b, and 3y for c in the quadratic formula, \frac {b±\sqrt {b^ {2}4ac}} {2a}



Algebra Pressreader



What Is The Graph Of X 2 Y 3 X 2 2 1 Quora
Compute answers using Wolfram's breakthrough technology & knowledgebase, relied on by millions of students & professionals For math, science, nutrition, historyY^2 = x^32x^2 Natural Language;In Click here to see ALL problems on Quadratic Equations Question This question is from textbook Algebra 1 what is y=X22x3 This question is from textbook Algebra 1 Answer by jim_thompson5910 () ( Show Source ) You can put this solution on YOUR website!



Graph Of Y X 2 2x 3



How Do You Solve Y 2x 1 And Y X 2 Socratic
Rewrite x^{2}2x3 as \left(x^{2}3x\right)\left(x3\right) x\left(x3\right)x3 Factor out x in x^{2}3x that the midpoint of r and s corresponds to the axis of symmetry of the parabola represented by the quadratic equation y=x^2BxC The values of r and s are equidistant from the center by an unknown quantity u Express r and sSwap sides so that all variable terms are on the left hand side x^ {2}2x3=y x 2 − 2 x − 3 = y Subtract y from both sides Subtract y from both sides x^ {2}2x3y=0 x 2 − 2 x − 3 − y = 0 All equations of the form ax^ {2}bxc=0 can be solved using the quadratic formula \frac {First type the equation 2x3=15 Then type the @ symbol Then type x=6 Try it now 2x3=15 @ x=6 Clickable Demo Try entering 2x3=15 @ x=6 into the text box After you enter the expression, Algebra Calculator will plug x=6 in for the equation 2x3=15 2(6)3 = 15 The calculator prints "True" to let you know that the answer is right More Examples



How To Verify F X 2x 3 X 4 And G X 4x 3 2 X Are Inverses Of Each Other Quora



Solution Complete The Given Table Of Values Y X 2 2x Thanks
Extended Keyboard Examples Upload Random Compute answers using Wolfram's breakthrough technology & knowledgebase, relied on by millions of students & professionals For math, science, nutrition, history, geography, engineering, mathematics, linguistics, sports, finance, musicPlot(y=2xx^2, y=x) Natural Language;The complex zero calculator can be writing the \( 4x^2 – 9 \) value as \( 22x^2(33) \) Where, it is (2x 3) (2x3) For finding zeros of a function, the real zero calculator set the above expression to 0 $$ (2x 3) (2x3) = 0 $$ $$ 2x 3 = 0 $$ $$ 2x = 3 $$ $$ X = 3/2 $$ Similarly, the zeros of a function calculator takes the second



If Y X 2 2x 3 Y X Graph Is Youtube



How Long Does A Firework Ppt Download
Make X the subject of the formula y=2x/32x ℹ️ Max If your queston means y = ( 2 x ) / ( 3 2 x ) Then multiply both sides by 3 2 x y ( 3 2 x ) = 2 x 3 y 2 x y = 2 x Subtract 3 y to both sides 2 x y = 2 x 3 y Add x to both sides 2 x y x = 2 3 y x ( 2 y 1 ) = 2 3 y On the grid, draw the graph ofy = 2x 3for values of x from 2 to 4Q On the grid, draw the graph of y = 2x 3 for values of x from 2 to 4 Q 2 See answers report flag outlined report flag outlinedDerivatives Derivative Applications Limits Integrals Integral Applications Integral Approximation Series ODE Multivariable Calculus Laplace Transform Taylor/Maclaurin Series Fourier Series Functions Line Equations Functions Arithmetic & Comp Conic



Quadratic Function



What Is The Equation Of The Tangent Line To The Curve Y X 2 2x 3 That Is Parallel To The Line X Y 1 Quora
Two systems of equations are shown below System A 6x y = 2 −x − y = −3 System B 2x − 3y = −10 −x − y = −3 Which of the following statements is correct about the two systems of equations?If you're solving for x, then Let y=0 and factor out a 1Algebra Factor x^22x3 x2 − 2x − 3 x 2 2 x 3 Consider the form x2 bxc x 2 b x c Find a pair of integers whose product is c c and whose sum is b b In this case, whose product is −3 3 and whose sum is −2 2 −3,1 3, 1 Write the factored form using these integers (x−3)(x 1) ( x



Solution The Circle X 2 Y 2 2x 3 0 Is Stretched Horizontally By A Factor Of 2 About X 0 To Obtain An Ellipse What Is The Equation Of This Ellipse In General Form



If Y X 2 2x 3x 4 Then Find Dy Dx Youtube
What we are transforming is the basis of #y=x^2# where #x_("vertex")=0# Let the vertex of #y=x^2>(x_1,y_1)=(0,0)# Note this is the same as #y=x^x0# Note that the yintercept is at #x=0# So for this case the yintercept is #y=(0)^x0=0# #color(blue)("Transformation left or right Shift left or right")# Let the vertex of #y=x^22x >(xAlgebracalculator x2y=2x5, xy=3 en Related Symbolab blog posts Middle School Math Solutions – Equation Calculator Welcome to our new "Getting Started" math solutions series Over the next few weeks, we'll be showing how SymbolabY = x2 − 2x − 3 y = x 2 2 x 3 Find the properties of the given parabola Tap for more steps Rewrite the equation in vertex form Tap for more steps Complete the square for x 2 − 2 x − 3 x 2 2 x 3 Tap for more steps Use the form a x 2 b x



If The Line 2x Y 3 0 Intersects The Circle X 2 Y 2 4x 6y 12 0 At Two Points D And E What Is The Length Of De Quora



Find The Area Of The Region Bounded By The Graphs Of The Given Equations Y 2x 3 Y X 2 Study Com
Solve the system of equations algebraically Show all of your steps y=x^22x y=3x Math Use a system of equations to find the quadratic function f(x) = ax^2 bx c that satisfies the equations Solve the system using matrices f(−2) = 4, f(1) = −2, f(2) = −12 The answer i got is f(x)=2x^24x8 this is theFind the point on the curve y = x 2 − 2 x 3, where the tangent is parallel to xaxisExtended Keyboard Examples Upload Random Compute answers using Wolfram's breakthrough technology & knowledgebase, relied on by millions of students & professionals For math, science, nutrition, history, geography, engineering, mathematics, linguistics, sports, finance, music



Graphing Quadratic Functions



Characteristics Of Quadratic Functions Recall That An X Intercept Of A Function Is A Value Of X When Y 0 A Zero Of A Function Is An X Value That Ppt Download
Steps for Solving Linear Equation y = 2x3 y = 2 x 3 Swap sides so that all variable terms are on the left hand side Swap sides so that all variable terms are on the left hand side 2x3=y 2 x 3 = y Subtract 3 from both sides Subtract 3 from both sidesUse the keypad given to enter functions Use x as your variable Click on "SOLVE" to process the function you entered Here are a few examples of what you can enter Processes the function entered Removes all text in the textfield Deletes the lastSin (x)cos (y)=05 2x−3y=1 cos (x^2)=y (x−3) (x3)=y^2 y=x^2 If you don't include an equals sign, it will assume you mean " =0 " It has not been well tested, so have fun with it, but don't trust it If it gives you problems, let me know Note it may take a few seconds to finish, because it has to do lots of calculations



Find The Area Bounded By The Curve Y X 2 2x 3 And The Line Y X 3 Youtube



The Graph Of Y 2x 4 X 4 Is A Parabola In The Xy Plane In Which Of The Following Equivalent Equations Do The X



The Curve With Equation Y X2 2x 3 Is Translated By Gauthmath



Find The Solution S To The System Of Equations Select All That Apply Y X2 2x 3 Y 2x 3 A Brainly Com



How Do You Graph Y X 2 2x 3 Socratic



Solved 5 The Figure Shows Part Of The Graph Of Y X2 2x Chegg Com



Solution 1 Sketch The Graph Of Y X2 2x 3 2 Sketch The Graph Of Y X2 2x 2 3 Find The Equation For The Linear Function That Is Parallel To F X 3 2x 3 Through 4 1 4 Find The Equation



Draw The Graph Of Y X 2 2x 3 And Hence Find The Roots Of X 2 X 6 0



Find The Area Bounded By The Curve Y X 3 3x 2 2x And The X Axis Youtube



If Y Sqrt 1 X 2 2x 3 1 2 X 2 2 2 3 Find Dy Dx



Graph The Linear Equation Y 2x 3 By Plotting Two Points And A Third Check Point Youtube



17 Here Is The Graph Of Y X2 3 Mates For The Sol Gauthmath



Graph The Equation Y X2 2x 3 On The Accompanying S Gauthmath



A Curve Has Equation Y X 2x 3 A Point Is Moving Along The Curve In Such A Way That At P The Brainly In



Solved 36 Y X2 2x 3 38 Yx 6 37 40 F X 3x2 9x 4 Chegg Com



A Complete The Table Of Values For Y X2 2x 3 B I W Gauthmath



The Figure Shows A Graph Of Y X4 2x3 X2 2x Wyzant Ask An Expert



Graph Quadratic Functions Ppt Video Online Download



Section 2 Quadratic Functions



1



Solved 5 Look At The Graph Of The Quadratic Function And Chegg Com



Chapter 2 Problems



Solution Finding X Y The Questionis X 2y 4 2x Y 3 I Don 39 T Understand When Finding 2x



Ex 6 3 15 Find Equation Of Tangent Line To Y X2 2x 7



What Is The Slope Of The Curve At Y X 2 2x 1 At 1 2 Quora



Draw The Graph Of Y X 2 2x 3 And Hence Find The Sum Of Roots Of X 2 X 6 0



Quadratic Function



Y X2 2x 3 Geogebra



Draw The Graph Of Y X 2 2x 3 And Hence Find The Sum Of Roots Of X 2 X 6 0



A Complete The Table Of Values For Y X2 2x 3 B I W Gauthmath



How Do You Find The Area Bounded By The Curve Y 3 2x X 2 And The X Axis Socratic



10a Copy And Complete The Table Below For The Rela Gauthmath



On A Piece Of Paper Graph This System Of Equations Y X 10 Y X 2 2x 3 Then Determine Brainly Com



Solved Sketch The Graph Of Y X 2 2x 3 By Finding The Chegg Com



Ordinary Differential Equations Solve Y 2 2x 2y Dx 2x 3 Xy Dy 0 Mathematics Stack Exchange



Identify The Range Of Y X 2x 3 If The Domain Is All Real Numbers Brainly Com



Solved 1 Differentiate The Following Functions 1 Y 2x 9 Chegg Com



Solve The System Of Equations Y 2x 3 Y X2 2x 8 A 1 3 And 5 4 B 0 3 And 3 Brainly Com



How Would You Sketch The Curve Y 2x 1 X 2 Then Draw The Line Y X 2 On Your Graph And Show That It Intersects With The Curve At The Point X 1 More



What Is The Volume Generated When The Area Bounded By Y 2x 3 And Y X 2 Is Revolved About The X Axis Quora



8 Copy And Complete The Following Table Of Values Gauthmath



Graph The Quadratic Function F X X 2 2x 3 Find Vertex Axis Of Symmetry X And Y Intercepts Youtube



How Do You Graph Y X 2 2x Socratic



Solved Y X 2 3x 4 Y 2x 2 3 6 And 2 4 3 4 Chegg Com



Solution How Do U Graph Y X 2 2x 3 Please Make It Easy To Understand



Solved The Figure Shows A Graph Of Y X4 2x3 X2 2x Chegg Com



Solved Consider The Following Equation Y X 3 2x 2 X Chegg Com



Solution Y X2 2x 3 And How Do You Graph It



How Do I Convert The Equation F X X 2 2x 3 To Vertex Form Socratic



Y X2 2x 3 Table



Given The Region Bounded By The Curve Y X 2 And The Line Y 2x 3 What Is The Area Boded By The Given Region The Moment Of The Region With Respect To X Axis The Moment



If Y X 2 2x 3x 4 Then Find Dy Dx Sahay Sir



Draw The Graph Of Y 2x 3 15 X 2 36 X 12 Y X 4 2x 2 3



Solved Concepts 1 The Solutions Of The Equation X 2x 3 Chegg Com



Example 1 Solve A Quadratic Equation Having Two Solutions Solve X 2 2x 3 By Graphing Step 1 Write The Equation In Standard Form Write Original Equation Ppt Download



View Question If Y X 2 2x 3 Then If Y 1 What S X



Ex 6 3 15 Find Equation Of Tangent Line To Y X2 2x 7



Wang991 Wordpress Com Relation And Function Click When Ready Ppt Download



How Do You Graph Y X 2 2x 3 Socratic



Solved Find The Equation Of The Line Tangent To The Graph Of Y X2 2x 3 At The Point 3 6 Course Hero



If The Area By Y X 2 2x 3 And The Line Y K X 1 Is The Least Find K And Also The Least Area



If Y X 2 2x Then Dy Dx At X 3 Is Physics Motion In A Straight Line Meritnation Com



Quadratic Graph Example Y Ax Expii



Sketch The Graph Of Y 2x 3 6x 2 2 Including All Critical Points And Points Of Inflection Study Com



How Do You Solve The System Of Equations Y X 2 4x 5 And Y 2x 3 Graphically Socratic



What Are The Coordinates Of The Points On The Curve Y 2x 3 4x 2 X 1 At Which The Slope Of Curve Is 1 Quora



How Do You Find The X And Y Intercepts For Y X 2 2x 3 Socratic



A Complete The Table Of Values For Y X2 2x 3 A V 2 H 1 0 1 2 3 4 S U 5 0 3 4 3 0 5 34 Brainly Com



X 2 2x 3 0



Solved For Each Of The Following Y Find D A J B Y 219 3x C J S1 7 D Y X 1 E Y 2x 3 5 6x F Y 2



Ordinary Differential Equations Solve Y 2 2x 2y Dx 2x 3 Xy Dy 0 Mathematics Stack Exchange



The Graph Of The Quadratic Function Y X 2 2x 3 Is Shown Below Brainly Com



How Do You Sketch The Graph Y X 4 2x 3 2x Using The First And Second Derivatives Socratic



29 Here Is The Graph Of Y X3 2x 3 A Write Down The Gauthmath



2 Use The Graph Of Y X2 2x 3 To Solve The Equation X2 2x 3 0 What Are The Solutions Brainly Com



Systems Review



Ex 6 3 12 Find Equations Of All Lines Having Slope 0 Tangent



Quadratic Functions Ppt Video Online Download


0 件のコメント:
コメントを投稿